渦輪流量計儀表系數測量是渦輪流量計檢定的重要內容,檢定結果直接影響渦輪流量計計量的準確性。而儀表系數測量結果的不確定度評定則是考評這個檢定過程和檢定結果的準確性的重要手段。
0引言
渦輪流量計檢定是依據檢定規程JJG1037-2008《渦輪流量計》開展,檢定過程使用靜態質量法水流量標準裝置作為檢定標準器,
使用稱重法作為檢定過程來評價渦輪流量計K系數測量結果的不確定度。
1建立數學模型
1.1數據處理
忽略高階無窮小,將水看做是不可壓縮液體后得到渦輪流量計每次檢定的儀表系數KIj:

式中:Kij—第i檢定點第j次檢定的系數,1/m3;
Nij—第i檢定點第j次檢定時測得的脈沖數;
mij—第i檢定點第j次檢定時的標準質量,kg;
ρ—檢定用液體在檢定狀態下的密度,g/cm3;
ρa—空氣的實際密度,g/cm3;
β—檢定用液體在檢定狀態下的體膨脹系數;
(θs)(θmij)ij—第i檢定點第j次檢定標準裝置和流量計處的液體溫度,℃;
其中i—1,2,…,m;j—1,2,…,n;m,n≥3。計算流量計每個檢定點的平均儀表系數:


1.2確定不確定度的傳播律
由式(1)~(6)綜合考慮可知,流量計的儀表系數與式(1)中涉及的各個分量均有關系,并且各分量之間彼此獨立不相關。因此由
涉及的各分量引入的不確定度應逐個分析后參與合成標準不確定度,根據式(1)(3)(4)確定儀表系數的合成標準不確定度傳播
律為:
u2cr(K) Cr2(N)ur2(N)+Cr2(m)ur2(m)+Cr2(P)ur2(P)+Cr2(Pa)ur2(β)ur2(β)+Cr2(θs)ur2(θs)+Cr2(θm)ur2(θm)+Cr2(E)
ur2(E)+Cr2(Er)ur2(Er)
2標準不確定度的來源與評定
2.1測量數據
根據檢定規程,使用靜態質量法標準裝置(Ur=0.16%,k=2)檢定量程范圍為(15~120)m3/h的DN100液體渦輪流量計,環境溫
度28.2℃,介質壓力250kPa,介質溫度18.5℃,使用密度計測得水密度為998.501kg/m3,其中0.5smθ?θ≤℃,采用五點六次法檢定
,每個檢定流量點的儀表系數Ki使用式(2)計算,平均儀表系數K使用式(3)計算,重復性Er使用式(5)和(6)計算,詳細數據如下表1所示。


2.2標準裝置脈沖計數的不確定度
脈沖計數的誤差為±1個脈沖,根據表中數據可知,累積脈沖數不少于5000個,即脈沖計數的誤差不大于0.02%,按矩形分布
考慮,則其相對標準不確定度和相對靈敏系數分別為:

2.3標準裝置的不確定度
靜態質量法標準裝置檢定證書給出標準裝置擴展不確定度Ur=0.16%(k=2),則其相對標準不確定度和相對靈敏系數分別為:

2.4空氣密度的不確定度
空氣密度的計算公式為
為空氣摩爾質量,其值為28.9653kg/mol;R為通用氣體常數,其值為8.314472J/(mol·K);p為大氣壓力;Z為壓縮系數;為空氣溫度。在標準狀態下20℃,101.325kPa時,Z=0.99963,將以上數值
帶入公式有(20)1.204/3aρ℃=kgm。環境溫度在(5~45)℃之間變化時,空氣密度的不確定度不大于10%,按矩形分布考慮,則
其相對標準不確定度及相對靈敏系數分別為:

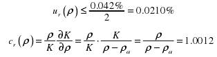
2.5檢定介質密度的不確定度
檢定介質密度測量所用密度計的檢定證書給出:擴展不確定度U(ρ)=0.0004g/cm3(k=2),測量范圍為(0.950~1.000)
g/cm3,*大測量誤差為0.0004100%0.042%0.950×=,則其相對標準不確定度和相對靈敏系數分別為:

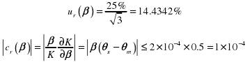
2.6檢定用液體體膨脹系數的不確定度
估計Ur(β)=25%,按照矩形分別考慮,根據檢定數據給出|θs?θm|≤0.5℃,則其相對標準不確定度和相對靈敏系數分別為:

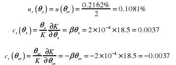
2.7被檢流量計處和工作量器處液體溫度測量的不確定度
溫度測量用到的標準水銀溫度計校準證書U=0.04℃(k=2),介質溫度為18.5℃,則有Ur(θ)=0.04/18.5×100%=0.2162%,其
相對標準不確定度及靈敏度系數分別為:

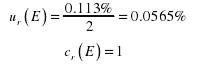
2.8儀表系數誤差的不確定度
測量得出流量計的儀表系數K=4187.136m-3,儀表系數的誤差E=[Ei]max=0.113%,按正態分布考慮,則其相對標準不確定度
和相對靈敏系數分別為:

2.9重復性的不確定度
使用的靜態質量法水流量標準裝置的重復性為0.0193%(標準裝置重復性試驗數據)
被檢流量計的重復性為Er=[(Er)i]max=0.036%,
取二者中較大者,則其相對標準不確定度和相對靈敏系數分別為ur(Er)=0.0147%Cr(Er)=1
3標準不確定度分量匯總表
如表2所示。

4合成標準不確定度
上表中所列各項標準不確定度分量各不相關,帶入式(7)得到合成相對標準不確定度為:ucr(K)≈0.102%
5擴展不確定度
取k=2,則其相對擴展不確定度為:Ur=k×ucr(K)=2×0.102%=0.204%≈0.21%
6不確定度報告
被檢定的DN100渦輪流量計儀表系數K=4187.136m-3,其相對擴展不確定度Ur=0.21%,k=2。

水平安裝金屬管轉子流量計
污泥流量計
金屬管浮子流量計
鹽酸流量計
垂直安裝金屬管浮子流量計
硫酸流量計
掃一掃關注我們